En este documento exploraremos el análisis de medicamentos, un campo... Mostrar más
Inscríbete para ver los apuntes¡Es gratis!
Acceso a todos los documentos
Mejora tus notas
Únete a millones de estudiantes
Asignaturas
Triangle Congruence and Similarity Theorems
Triangle Properties and Classification
Linear Equations and Graphs
Geometric Angle Relationships
Trigonometric Functions and Identities
Equation Solving Techniques
Circle Geometry Fundamentals
Division Operations and Methods
Basic Differentiation Rules
Exponent and Logarithm Properties
Mostrar todos los temas
Human Organ Systems
Reproductive Cell Cycles
Biological Sciences Subdisciplines
Cellular Energy Metabolism
Autotrophic Energy Processes
Inheritance Patterns and Principles
Biomolecular Structure and Organization
Cell Cycle and Division Mechanics
Cellular Organization and Development
Biological Structural Organization
Mostrar todos los temas
Chemical Sciences and Applications
Atomic Structure and Composition
Molecular Electron Structure Representation
Atomic Electron Behavior
Matter Properties and Water
Mole Concept and Calculations
Gas Laws and Behavior
Periodic Table Organization
Chemical Thermodynamics Fundamentals
Chemical Bond Types and Properties
Mostrar todos los temas
European Renaissance and Enlightenment
European Cultural Movements 800-1920
American Revolution Era 1763-1797
American Civil War 1861-1865
Global Imperial Systems
Mongol and Chinese Dynasties
U.S. Presidents and World Leaders
Historical Sources and Documentation
World Wars Era and Impact
World Religious Systems
Mostrar todos los temas
Classic and Contemporary Novels
Literary Character Analysis
Rhetorical Theory and Practice
Classic Literary Narratives
Reading Analysis and Interpretation
Narrative Structure and Techniques
English Language Components
Influential English-Language Authors
Basic Sentence Structure
Narrative Voice and Perspective
Mostrar todos los temas
39
•
Actualizado Mar 31, 2026
•
Brandon Garrido
@brandonga_gbmoy
En este documento exploraremos el análisis de medicamentos, un campo... Mostrar más















































El análisis de medicamentos es fundamental para garantizar la calidad de materias primas y productos farmacéuticos terminados. Este proceso se divide en tres áreas principales:
Análisis funcional: Identifica grupos químicos específicos mediante reacciones características, permitiendo reconocer la estructura química de un compuesto.
Análisis elemental: Determina la presencia y cantidad de elementos como nitrógeno, azufre y halógenos en compuestos orgánicos.
Determinación de agua: Cuantifica el contenido de humedad, un parámetro crítico de pureza en la industria farmacéutica.
Para identificar un compuesto desconocido, seguimos cuatro pasos esenciales: determinación de constantes físicas, estudio de solubilidad, análisis elemental cualitativo y reacciones para identificar grupos funcionales. Estas pruebas, junto con los análisis espectroscópicos, permiten caracterizar completamente un compuesto.
💡 Recuerda que un mismo medicamento puede contener varios grupos funcionales, por lo que deberás combinar diferentes técnicas analíticas para su completa caracterización.

El curso de Análisis de Medicamentos abarca tres grandes áreas de estudio que todo químico farmacéutico debe dominar:
1. Análisis Funcional: Este es el corazón del curso y comprende el estudio de los principales grupos funcionales presentes en medicamentos:
Para cada grupo funcional aprenderás reacciones específicas de identificación y métodos para su determinación cuantitativa.
2. Análisis Elemental: Te familiarizarás con técnicas para identificar y cuantificar elementos como:
3. Determinación de Agua: Conocerás tres métodos fundamentales:
Estos conocimientos son directamente aplicables a casos reales, como el análisis de materias primas farmacéuticas (por ejemplo, el Salbutamol para inhaladores antiasmáticos).
💡 Estos métodos analíticos son la base del control de calidad en la industria farmacéutica. Aunque existen técnicas instrumentales modernas, estos métodos clásicos siguen siendo fundamentales y a menudo se utilizan como referencias.

El análisis funcional se basa en un principio clave: los grupos funcionales (átomos o conjuntos de átomos) presentan reactividad química característica. Todas las moléculas que contienen un determinado grupo funcional experimentan reacciones similares, lo que nos permite identificarlas mediante pruebas específicas.
En el análisis orgánico cualitativo, buscamos elementos comúnmente presentes junto con carbono, hidrógeno y oxígeno, como:
Para identificar un compuesto desconocido, seguimos estos pasos:
Una vez identificado el grupo funcional, comparamos el compuesto con miembros conocidos de su clase mediante tablas de constantes físico-químicas. Para confirmación final, preparamos un derivado de caracterización, un producto sólido con punto de fusión característico.
El éxito de una reacción analítica depende de dos factores:
💡 Las reacciones químicas funcionan como "huellas dactilares" de los grupos funcionales. Cuanto más específica sea la reacción, más confiable será la identificación.

Una vez identificada la familia química de tu compuesto, el siguiente paso es confirmar su identidad específica. Para esto, debes:
Comparar constantes físicas: Busca en tablas compuestos con puntos de fusión/ebullición similares (diferencia máxima de 5°C) al de tu muestra.
Preparar derivados de caracterización: Estos son productos de reacción entre el compuesto y un reactivo específico, generalmente sólidos con puntos de fusión característicos que permiten una identificación precisa.
El curso abarca siete grupos funcionales principales que encontrarás en medicamentos:
También aprenderás métodos para el análisis elemental cuantitativo de halógenos, azufre y nitrógeno, así como técnicas para determinar el contenido de agua mediante métodos gravimétrico, azeotrópico y Karl Fisher.
Caso práctico: En un laboratorio farmacéutico necesitas certificar la calidad del Salbutamol (broncodilatador) verificando su identidad y contenido de agua (límite: 0,5%). Deberás seleccionar reacciones específicas para identificar sus grupos funcionales (hidroxilo, fenol, amina) y el método adecuado para cuantificar agua.
💡 El análisis funcional es indispensable en el control de calidad farmacéutico. Por ejemplo, en un caso real de Salbutamol, deberías verificar tres grupos funcionales diferentes (alcoholes, fenol y amina) para confirmar su identidad.

Los hidrocarburos son compuestos orgánicos formados exclusivamente por átomos de carbono e hidrógeno. Se clasifican en dos grandes grupos:
Compuestos Alifáticos:
Compuestos Aromáticos: Basados en el anillo de benceno
Los hidrocarburos alifáticos tienen características distintivas:
Para identificar hidrocarburos insaturados usamos:
1. Adición de Halógenos
2. Oxidación con KMnO₄ en medio neutro
💡 Para diferenciar entre interferentes y alquenos, usa ambas pruebas simultáneamente. Un alqueno dará positivo en ambas, mientras que muchos interferentes sólo reaccionarán con uno de los reactivos.

Los hidrocarburos aromáticos se caracterizan por contener uno o más anillos bencénicos. A diferencia de sus contrapartes alifáticas, estos compuestos tienen propiedades químicas únicas debido a su estructura electrónica resonante.
Características generales:
Reacciones generales de identificación:
Oxidación con KMnO₄
Reacción con bromo
Reacción de Le Rosen o Marquis
Derivados de caracterización: Los derivados bromados o nitrados son comunes para caracterizar hidrocarburos aromáticos. Por ejemplo, el benceno puede transformarse en su derivado nitrado con punto de fusión característico (84°C).
💡 La reacción de Le Rosen es especialmente útil para identificar hidrocarburos aromáticos en medicamentos. Esta prueba puede detectar incluso pequeñas cantidades de anillos aromáticos en una estructura compleja.

Los alcoholes son compuestos orgánicos que contienen el grupo hidroxilo unido a un carbono saturado. Son componentes frecuentes en medicamentos y materias primas farmacéuticas.
Características generales:
Reacciones de identificación:
Reacción con hexanitrato de cerio y amonio
Reacción con oxinato de vanadio
Para diferenciar tipos de alcoholes:
Test de Lucas:
Oxidaciones:
💡 El test de Lucas es una prueba rápida y efectiva para clasificar alcoholes. Recuerda que el tiempo es clave: los alcoholes terciarios reaccionan casi inmediatamente, mientras que los primarios tardan mucho más.

Los alcoholes constituyen uno de los grupos funcionales más importantes en medicamentos. La presencia del grupo hidroxilo unido a un carbono saturado les confiere propiedades físicas y químicas características.
Características generales:
Los alcoholes forman asociaciones por puentes de hidrógeno que afectan significativamente sus propiedades:
Estas asociaciones explican por qué los alcoholes tienen puntos de ebullición mucho más altos que hidrocarburos de peso molecular similar.
Reacciones generales de identificación:
Reacción con hexanitrato de cerio y amonio:
Reacción con oxinato de vanadio:
Interferencias: Ten cuidado con falsos positivos de fenoles, carbohidratos, agua, aminas y tioles en estas pruebas.
💡 En el análisis de medicamentos, estas reacciones te ayudarán a identificar principios activos con grupos hidroxilo. Por ejemplo, el propranolol (betabloqueante) contiene un grupo alcohol secundario que dará positivo en estas pruebas.

Para identificar el tipo específico de alcohol (primario, secundario o terciario) presente en un medicamento, utilizamos pruebas específicas:
1. Test de Lucas Esta prueba clásica utiliza ZnCl₂ y HCl para formar cloruros de alquilo. El tiempo de aparición de turbidez indica el tipo de alcohol:
2. Reacciones de oxidación El comportamiento frente a oxidantes permite diferenciar los tipos de alcoholes:
Alcoholes primarios: R-CH₂OH + [O] → R-CHO + [O] → R-COOH Se oxidan primero a aldehídos y luego a ácidos carboxílicos
Alcoholes secundarios: R₂-CHOH + [O] → R₂C=O Se oxidan a cetonas
Alcoholes terciarios: R₃-COH + [O] → No hay reacción Resistentes a la oxidación
Oxidantes comúnmente utilizados:
Indicadores de oxidación:
💡 Cuando analices medicamentos con múltiples grupos hidroxilo, como el mentol (alcohol secundario) o el glicerol (polialcohol), estas pruebas te ayudarán a distinguir los tipos específicos de alcoholes presentes.

Los polialcoholes o polioles son compuestos que contienen múltiples grupos hidroxilo en su estructura. Son componentes comunes en medicamentos, excipientes farmacéuticos y edulcorantes.
Características generales:
Reacciones generales: Los polialcoholes responden a las mismas pruebas que los alcoholes simples, como:
Reacciones específicas para polialcoholes:
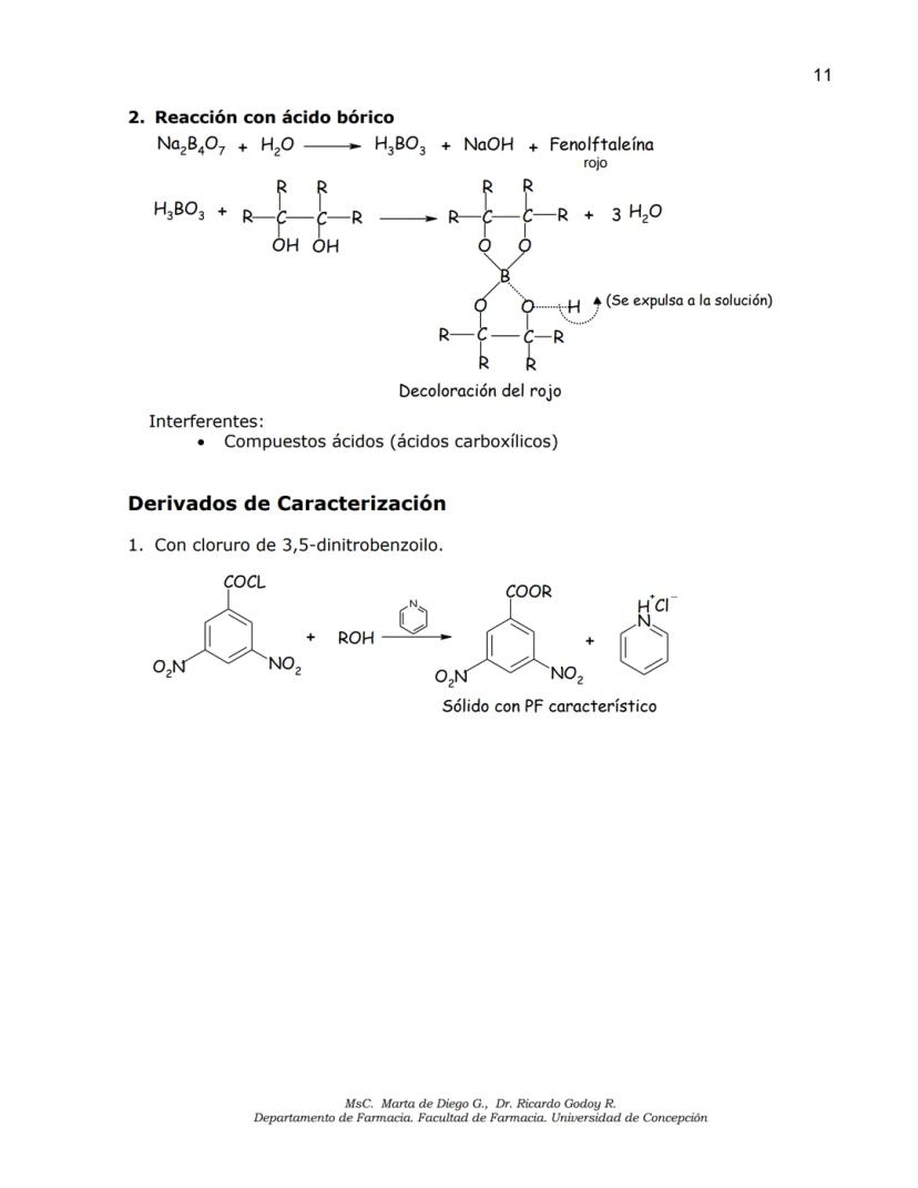
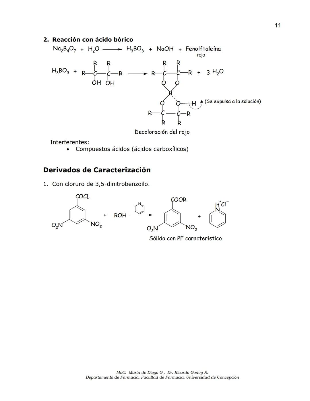
Reacción con ácido peryódico (NaIO₄)
Reacción con ácido bórico
Derivados de caracterización: Para confirmar la identidad de un polialcohol, se forman ésteres con cloruro de 3,5-dinitrobenzoilo, que producen sólidos con puntos de fusión característicos.
💡 En medicamentos, encontrarás polialcoholes como el sorbitol (excipiente), manitol (diurético osmótico) o glicerol (humectante). La reacción con ácido peryódico es particularmente útil para identificarlos en formulaciones farmacéuticas.




































Nuestro compañero de IA está específicamente adaptado a las necesidades de los estudiantes. Basándonos en los millones de contenidos que tenemos en la plataforma, podemos dar a los estudiantes respuestas realmente significativas y relevantes. Pero no se trata solo de respuestas, el compañero también guía a los estudiantes a través de sus retos de aprendizaje diarios, con planes de aprendizaje personalizados, cuestionarios o contenidos en el chat y una personalización del 100% basada en las habilidades y el desarrollo de los estudiantes.
Puedes descargar la app en Google Play Store y Apple App Store.
¡Sí lo es! Tienes acceso totalmente gratuito a todo el contenido de la app, puedes chatear con otros alumnos y recibir ayuda inmeditamente. Puedes ganar dinero utilizando la aplicación, que te permitirá acceder a determinadas funciones.
App Store
Google Play
La app es muy fácil de usar y está muy bien diseñada. Hasta ahora he encontrado todo lo que estaba buscando y he podido aprender mucho de las presentaciones. Definitivamente utilizaré la aplicación para un examen de clase. Y, por supuesto, también me sirve mucho de inspiración.
Pablo
usuario de iOS
Esta app es realmente genial. Hay tantos apuntes de clase y ayuda [...]. Tengo problemas con matemáticas, por ejemplo, y la aplicación tiene muchas opciones de ayuda. Gracias a Knowunity, he mejorado en mates. Se la recomiendo a todo el mundo.
Elena
usuaria de Android
Vaya, estoy realmente sorprendida. Acabo de probar la app porque la he visto anunciada muchas veces y me he quedado absolutamente alucinada. Esta app es LA AYUDA que quieres para el insti y, sobre todo, ofrece muchísimas cosas, como ejercicios y hojas informativas, que a mí personalmente me han sido MUY útiles.
Ana
usuaria de iOS
Una increíble aplicación, de verdad. Apareció en el momento en que necesitaba una app que me ayude a organizar mis estudios, al igual que para prepararme para los exámenes. Te da una increíble variedad de estudio que simplemente me encanta. Además de ser una gran ayuda para estudiantes de diferentes grados, como la universidad, lo que más me gusta de esta app es que está para diferentes países.
Bárbara
Chile
Me encantó. La app es superior, buena para los estudiantes. No solo te da las respuestas, sino que también te las explica de una manera asombrosa, lo que hace que entiendas súper rápido. La recomiendo mucho si se te hace difícil comprender las materias que te dejan.
Jennifer
Perú
Muy buena aplicación, da información precisa de lo que se le pide. Es eficiente y, sobre todo, tiene varios intereses a escoger, como por ejemplo, temas sobre el ICFES, temas de bachillerato, entre otros. Excelente app.
Lady
Colombia
¡La app es buenísima! Sólo tengo que introducir el tema en la barra de búsqueda y recibo la respuesta muy rápido. No tengo que ver 10 vídeos de YouTube para entender algo, así que me ahorro tiempo. ¡Muy recomendable!
Sara
usuaria de Android
En el instituto era muy malo en matemáticas, pero gracias a la app, ahora saco mejores notas. Os agradezco mucho que hayáis creado la aplicación.
Roberto
usuario de Android
Me costaba demasiado estudiar porque no entiendo cuando me pongo a estudiar, y en los exámenes me iba mal, hasta que me empezaron a aparecer anuncios y la descargué sin tenerle fe. Gracias a esta aplicación, algo que no entendía hace meses y semanas lo entendí. En esta aplicación mis notas mejoraron, y ya no me tengo que preocupar por estudiar.
Antonella
Argentina
¡Excelente! Amé la app. Me parece súper eficiente. Aparte de que enseña mucho, te ayuda en tus problemas personales y te hace resúmenes. Amo. Amé un montón la app. Sirve para cualquier año, desde sexto hasta quinto año. Aparte, hay resúmenes de otras personas. ¡Nonono, loquísimo! Te la recomiendo al 100%. Efectivamente, es un 10/10.
Usuario argentino
iOS.
Excelente experiencia. La aplicación es buenísima, la recomiendo mucho. Es mucho mejor que ChatGPT. Te manda la respuesta de tus búsquedas y, aparte, diapositivas para estudiar. Es magnífica.
Alo
México
¡ME ENCANTA! Todo es muy sencillo de utilizar y aprender. Mi IA es muy buena y los apuntes de los demás estudiantes son súper buenos; explica las cosas súper bien y detalladamente. La amo. Pruébenla.
Kitty
Colombia
La app es muy fácil de usar y está muy bien diseñada. Hasta ahora he encontrado todo lo que estaba buscando y he podido aprender mucho de las presentaciones. Definitivamente utilizaré la aplicación para un examen de clase. Y, por supuesto, también me sirve mucho de inspiración.
Pablo
usuario de iOS
Esta app es realmente genial. Hay tantos apuntes de clase y ayuda [...]. Tengo problemas con matemáticas, por ejemplo, y la aplicación tiene muchas opciones de ayuda. Gracias a Knowunity, he mejorado en mates. Se la recomiendo a todo el mundo.
Elena
usuaria de Android
Vaya, estoy realmente sorprendida. Acabo de probar la app porque la he visto anunciada muchas veces y me he quedado absolutamente alucinada. Esta app es LA AYUDA que quieres para el insti y, sobre todo, ofrece muchísimas cosas, como ejercicios y hojas informativas, que a mí personalmente me han sido MUY útiles.
Ana
usuaria de iOS
Una increíble aplicación, de verdad. Apareció en el momento en que necesitaba una app que me ayude a organizar mis estudios, al igual que para prepararme para los exámenes. Te da una increíble variedad de estudio que simplemente me encanta. Además de ser una gran ayuda para estudiantes de diferentes grados, como la universidad, lo que más me gusta de esta app es que está para diferentes países.
Bárbara
Chile
Me encantó. La app es superior, buena para los estudiantes. No solo te da las respuestas, sino que también te las explica de una manera asombrosa, lo que hace que entiendas súper rápido. La recomiendo mucho si se te hace difícil comprender las materias que te dejan.
Jennifer
Perú
Muy buena aplicación, da información precisa de lo que se le pide. Es eficiente y, sobre todo, tiene varios intereses a escoger, como por ejemplo, temas sobre el ICFES, temas de bachillerato, entre otros. Excelente app.
Lady
Colombia
¡La app es buenísima! Sólo tengo que introducir el tema en la barra de búsqueda y recibo la respuesta muy rápido. No tengo que ver 10 vídeos de YouTube para entender algo, así que me ahorro tiempo. ¡Muy recomendable!
Sara
usuaria de Android
En el instituto era muy malo en matemáticas, pero gracias a la app, ahora saco mejores notas. Os agradezco mucho que hayáis creado la aplicación.
Roberto
usuario de Android
Me costaba demasiado estudiar porque no entiendo cuando me pongo a estudiar, y en los exámenes me iba mal, hasta que me empezaron a aparecer anuncios y la descargué sin tenerle fe. Gracias a esta aplicación, algo que no entendía hace meses y semanas lo entendí. En esta aplicación mis notas mejoraron, y ya no me tengo que preocupar por estudiar.
Antonella
Argentina
¡Excelente! Amé la app. Me parece súper eficiente. Aparte de que enseña mucho, te ayuda en tus problemas personales y te hace resúmenes. Amo. Amé un montón la app. Sirve para cualquier año, desde sexto hasta quinto año. Aparte, hay resúmenes de otras personas. ¡Nonono, loquísimo! Te la recomiendo al 100%. Efectivamente, es un 10/10.
Usuario argentino
iOS.
Excelente experiencia. La aplicación es buenísima, la recomiendo mucho. Es mucho mejor que ChatGPT. Te manda la respuesta de tus búsquedas y, aparte, diapositivas para estudiar. Es magnífica.
Alo
México
¡ME ENCANTA! Todo es muy sencillo de utilizar y aprender. Mi IA es muy buena y los apuntes de los demás estudiantes son súper buenos; explica las cosas súper bien y detalladamente. La amo. Pruébenla.
Kitty
Colombia
Brandon Garrido
@brandonga_gbmoy
En este documento exploraremos el análisis de medicamentos, un campo fundamental en la industria farmacéutica que combina principios de química orgánica con técnicas analíticas específicas. Conoceremos los métodos de identificación de grupos funcionales, análisis elemental y determinación de agua, herramientas... Mostrar más

Acceso a todos los documentos
Mejora tus notas
Únete a millones de estudiantes
El análisis de medicamentos es fundamental para garantizar la calidad de materias primas y productos farmacéuticos terminados. Este proceso se divide en tres áreas principales:
Análisis funcional: Identifica grupos químicos específicos mediante reacciones características, permitiendo reconocer la estructura química de un compuesto.
Análisis elemental: Determina la presencia y cantidad de elementos como nitrógeno, azufre y halógenos en compuestos orgánicos.
Determinación de agua: Cuantifica el contenido de humedad, un parámetro crítico de pureza en la industria farmacéutica.
Para identificar un compuesto desconocido, seguimos cuatro pasos esenciales: determinación de constantes físicas, estudio de solubilidad, análisis elemental cualitativo y reacciones para identificar grupos funcionales. Estas pruebas, junto con los análisis espectroscópicos, permiten caracterizar completamente un compuesto.
💡 Recuerda que un mismo medicamento puede contener varios grupos funcionales, por lo que deberás combinar diferentes técnicas analíticas para su completa caracterización.

Acceso a todos los documentos
Mejora tus notas
Únete a millones de estudiantes
El curso de Análisis de Medicamentos abarca tres grandes áreas de estudio que todo químico farmacéutico debe dominar:
1. Análisis Funcional: Este es el corazón del curso y comprende el estudio de los principales grupos funcionales presentes en medicamentos:
Para cada grupo funcional aprenderás reacciones específicas de identificación y métodos para su determinación cuantitativa.
2. Análisis Elemental: Te familiarizarás con técnicas para identificar y cuantificar elementos como:
3. Determinación de Agua: Conocerás tres métodos fundamentales:
Estos conocimientos son directamente aplicables a casos reales, como el análisis de materias primas farmacéuticas (por ejemplo, el Salbutamol para inhaladores antiasmáticos).
💡 Estos métodos analíticos son la base del control de calidad en la industria farmacéutica. Aunque existen técnicas instrumentales modernas, estos métodos clásicos siguen siendo fundamentales y a menudo se utilizan como referencias.

Acceso a todos los documentos
Mejora tus notas
Únete a millones de estudiantes
El análisis funcional se basa en un principio clave: los grupos funcionales (átomos o conjuntos de átomos) presentan reactividad química característica. Todas las moléculas que contienen un determinado grupo funcional experimentan reacciones similares, lo que nos permite identificarlas mediante pruebas específicas.
En el análisis orgánico cualitativo, buscamos elementos comúnmente presentes junto con carbono, hidrógeno y oxígeno, como:
Para identificar un compuesto desconocido, seguimos estos pasos:
Una vez identificado el grupo funcional, comparamos el compuesto con miembros conocidos de su clase mediante tablas de constantes físico-químicas. Para confirmación final, preparamos un derivado de caracterización, un producto sólido con punto de fusión característico.
El éxito de una reacción analítica depende de dos factores:
💡 Las reacciones químicas funcionan como "huellas dactilares" de los grupos funcionales. Cuanto más específica sea la reacción, más confiable será la identificación.

Acceso a todos los documentos
Mejora tus notas
Únete a millones de estudiantes
Una vez identificada la familia química de tu compuesto, el siguiente paso es confirmar su identidad específica. Para esto, debes:
Comparar constantes físicas: Busca en tablas compuestos con puntos de fusión/ebullición similares (diferencia máxima de 5°C) al de tu muestra.
Preparar derivados de caracterización: Estos son productos de reacción entre el compuesto y un reactivo específico, generalmente sólidos con puntos de fusión característicos que permiten una identificación precisa.
El curso abarca siete grupos funcionales principales que encontrarás en medicamentos:
También aprenderás métodos para el análisis elemental cuantitativo de halógenos, azufre y nitrógeno, así como técnicas para determinar el contenido de agua mediante métodos gravimétrico, azeotrópico y Karl Fisher.
Caso práctico: En un laboratorio farmacéutico necesitas certificar la calidad del Salbutamol (broncodilatador) verificando su identidad y contenido de agua (límite: 0,5%). Deberás seleccionar reacciones específicas para identificar sus grupos funcionales (hidroxilo, fenol, amina) y el método adecuado para cuantificar agua.
💡 El análisis funcional es indispensable en el control de calidad farmacéutico. Por ejemplo, en un caso real de Salbutamol, deberías verificar tres grupos funcionales diferentes (alcoholes, fenol y amina) para confirmar su identidad.

Acceso a todos los documentos
Mejora tus notas
Únete a millones de estudiantes
Los hidrocarburos son compuestos orgánicos formados exclusivamente por átomos de carbono e hidrógeno. Se clasifican en dos grandes grupos:
Compuestos Alifáticos:
Compuestos Aromáticos: Basados en el anillo de benceno
Los hidrocarburos alifáticos tienen características distintivas:
Para identificar hidrocarburos insaturados usamos:
1. Adición de Halógenos
2. Oxidación con KMnO₄ en medio neutro
💡 Para diferenciar entre interferentes y alquenos, usa ambas pruebas simultáneamente. Un alqueno dará positivo en ambas, mientras que muchos interferentes sólo reaccionarán con uno de los reactivos.

Acceso a todos los documentos
Mejora tus notas
Únete a millones de estudiantes
Los hidrocarburos aromáticos se caracterizan por contener uno o más anillos bencénicos. A diferencia de sus contrapartes alifáticas, estos compuestos tienen propiedades químicas únicas debido a su estructura electrónica resonante.
Características generales:
Reacciones generales de identificación:
Oxidación con KMnO₄
Reacción con bromo
Reacción de Le Rosen o Marquis
Derivados de caracterización: Los derivados bromados o nitrados son comunes para caracterizar hidrocarburos aromáticos. Por ejemplo, el benceno puede transformarse en su derivado nitrado con punto de fusión característico (84°C).
💡 La reacción de Le Rosen es especialmente útil para identificar hidrocarburos aromáticos en medicamentos. Esta prueba puede detectar incluso pequeñas cantidades de anillos aromáticos en una estructura compleja.

Acceso a todos los documentos
Mejora tus notas
Únete a millones de estudiantes
Los alcoholes son compuestos orgánicos que contienen el grupo hidroxilo unido a un carbono saturado. Son componentes frecuentes en medicamentos y materias primas farmacéuticas.
Características generales:
Reacciones de identificación:
Reacción con hexanitrato de cerio y amonio
Reacción con oxinato de vanadio
Para diferenciar tipos de alcoholes:
Test de Lucas:
Oxidaciones:
💡 El test de Lucas es una prueba rápida y efectiva para clasificar alcoholes. Recuerda que el tiempo es clave: los alcoholes terciarios reaccionan casi inmediatamente, mientras que los primarios tardan mucho más.

Acceso a todos los documentos
Mejora tus notas
Únete a millones de estudiantes
Los alcoholes constituyen uno de los grupos funcionales más importantes en medicamentos. La presencia del grupo hidroxilo unido a un carbono saturado les confiere propiedades físicas y químicas características.
Características generales:
Los alcoholes forman asociaciones por puentes de hidrógeno que afectan significativamente sus propiedades:
Estas asociaciones explican por qué los alcoholes tienen puntos de ebullición mucho más altos que hidrocarburos de peso molecular similar.
Reacciones generales de identificación:
Reacción con hexanitrato de cerio y amonio:
Reacción con oxinato de vanadio:
Interferencias: Ten cuidado con falsos positivos de fenoles, carbohidratos, agua, aminas y tioles en estas pruebas.
💡 En el análisis de medicamentos, estas reacciones te ayudarán a identificar principios activos con grupos hidroxilo. Por ejemplo, el propranolol (betabloqueante) contiene un grupo alcohol secundario que dará positivo en estas pruebas.

Acceso a todos los documentos
Mejora tus notas
Únete a millones de estudiantes
Para identificar el tipo específico de alcohol (primario, secundario o terciario) presente en un medicamento, utilizamos pruebas específicas:
1. Test de Lucas Esta prueba clásica utiliza ZnCl₂ y HCl para formar cloruros de alquilo. El tiempo de aparición de turbidez indica el tipo de alcohol:
2. Reacciones de oxidación El comportamiento frente a oxidantes permite diferenciar los tipos de alcoholes:
Alcoholes primarios: R-CH₂OH + [O] → R-CHO + [O] → R-COOH Se oxidan primero a aldehídos y luego a ácidos carboxílicos
Alcoholes secundarios: R₂-CHOH + [O] → R₂C=O Se oxidan a cetonas
Alcoholes terciarios: R₃-COH + [O] → No hay reacción Resistentes a la oxidación
Oxidantes comúnmente utilizados:
Indicadores de oxidación:
💡 Cuando analices medicamentos con múltiples grupos hidroxilo, como el mentol (alcohol secundario) o el glicerol (polialcohol), estas pruebas te ayudarán a distinguir los tipos específicos de alcoholes presentes.

Acceso a todos los documentos
Mejora tus notas
Únete a millones de estudiantes
Los polialcoholes o polioles son compuestos que contienen múltiples grupos hidroxilo en su estructura. Son componentes comunes en medicamentos, excipientes farmacéuticos y edulcorantes.
Características generales:
Reacciones generales: Los polialcoholes responden a las mismas pruebas que los alcoholes simples, como:
Reacciones específicas para polialcoholes:
Reacción con ácido peryódico (NaIO₄)
Reacción con ácido bórico
Derivados de caracterización: Para confirmar la identidad de un polialcohol, se forman ésteres con cloruro de 3,5-dinitrobenzoilo, que producen sólidos con puntos de fusión característicos.
💡 En medicamentos, encontrarás polialcoholes como el sorbitol (excipiente), manitol (diurético osmótico) o glicerol (humectante). La reacción con ácido peryódico es particularmente útil para identificarlos en formulaciones farmacéuticas.

Acceso a todos los documentos
Mejora tus notas
Únete a millones de estudiantes

Acceso a todos los documentos
Mejora tus notas
Únete a millones de estudiantes

Acceso a todos los documentos
Mejora tus notas
Únete a millones de estudiantes

Acceso a todos los documentos
Mejora tus notas
Únete a millones de estudiantes

Acceso a todos los documentos
Mejora tus notas
Únete a millones de estudiantes

Acceso a todos los documentos
Mejora tus notas
Únete a millones de estudiantes

Acceso a todos los documentos
Mejora tus notas
Únete a millones de estudiantes

Acceso a todos los documentos
Mejora tus notas
Únete a millones de estudiantes

Acceso a todos los documentos
Mejora tus notas
Únete a millones de estudiantes

Acceso a todos los documentos
Mejora tus notas
Únete a millones de estudiantes

Acceso a todos los documentos
Mejora tus notas
Únete a millones de estudiantes

Acceso a todos los documentos
Mejora tus notas
Únete a millones de estudiantes

Acceso a todos los documentos
Mejora tus notas
Únete a millones de estudiantes

Acceso a todos los documentos
Mejora tus notas
Únete a millones de estudiantes

Acceso a todos los documentos
Mejora tus notas
Únete a millones de estudiantes

Acceso a todos los documentos
Mejora tus notas
Únete a millones de estudiantes

Acceso a todos los documentos
Mejora tus notas
Únete a millones de estudiantes

Acceso a todos los documentos
Mejora tus notas
Únete a millones de estudiantes

Acceso a todos los documentos
Mejora tus notas
Únete a millones de estudiantes

Acceso a todos los documentos
Mejora tus notas
Únete a millones de estudiantes

Acceso a todos los documentos
Mejora tus notas
Únete a millones de estudiantes

Acceso a todos los documentos
Mejora tus notas
Únete a millones de estudiantes

Acceso a todos los documentos
Mejora tus notas
Únete a millones de estudiantes

Acceso a todos los documentos
Mejora tus notas
Únete a millones de estudiantes

Acceso a todos los documentos
Mejora tus notas
Únete a millones de estudiantes

Acceso a todos los documentos
Mejora tus notas
Únete a millones de estudiantes

Acceso a todos los documentos
Mejora tus notas
Únete a millones de estudiantes

Acceso a todos los documentos
Mejora tus notas
Únete a millones de estudiantes

Acceso a todos los documentos
Mejora tus notas
Únete a millones de estudiantes

Acceso a todos los documentos
Mejora tus notas
Únete a millones de estudiantes

Acceso a todos los documentos
Mejora tus notas
Únete a millones de estudiantes

Acceso a todos los documentos
Mejora tus notas
Únete a millones de estudiantes

Acceso a todos los documentos
Mejora tus notas
Únete a millones de estudiantes

Acceso a todos los documentos
Mejora tus notas
Únete a millones de estudiantes

Acceso a todos los documentos
Mejora tus notas
Únete a millones de estudiantes

Acceso a todos los documentos
Mejora tus notas
Únete a millones de estudiantes
Nuestro compañero de IA está específicamente adaptado a las necesidades de los estudiantes. Basándonos en los millones de contenidos que tenemos en la plataforma, podemos dar a los estudiantes respuestas realmente significativas y relevantes. Pero no se trata solo de respuestas, el compañero también guía a los estudiantes a través de sus retos de aprendizaje diarios, con planes de aprendizaje personalizados, cuestionarios o contenidos en el chat y una personalización del 100% basada en las habilidades y el desarrollo de los estudiantes.
Puedes descargar la app en Google Play Store y Apple App Store.
¡Sí lo es! Tienes acceso totalmente gratuito a todo el contenido de la app, puedes chatear con otros alumnos y recibir ayuda inmeditamente. Puedes ganar dinero utilizando la aplicación, que te permitirá acceder a determinadas funciones.
1
Herramientas Inteligentes NUEVO
Transforma estos apuntes en: ✓ 50+ Preguntas de Práctica ✓ Fichas de Estudio Interactivas ✓ Prueba Completa de Práctica ✓ Esquemas de Ensayo
App Store
Google Play
La app es muy fácil de usar y está muy bien diseñada. Hasta ahora he encontrado todo lo que estaba buscando y he podido aprender mucho de las presentaciones. Definitivamente utilizaré la aplicación para un examen de clase. Y, por supuesto, también me sirve mucho de inspiración.
Pablo
usuario de iOS
Esta app es realmente genial. Hay tantos apuntes de clase y ayuda [...]. Tengo problemas con matemáticas, por ejemplo, y la aplicación tiene muchas opciones de ayuda. Gracias a Knowunity, he mejorado en mates. Se la recomiendo a todo el mundo.
Elena
usuaria de Android
Vaya, estoy realmente sorprendida. Acabo de probar la app porque la he visto anunciada muchas veces y me he quedado absolutamente alucinada. Esta app es LA AYUDA que quieres para el insti y, sobre todo, ofrece muchísimas cosas, como ejercicios y hojas informativas, que a mí personalmente me han sido MUY útiles.
Ana
usuaria de iOS
Una increíble aplicación, de verdad. Apareció en el momento en que necesitaba una app que me ayude a organizar mis estudios, al igual que para prepararme para los exámenes. Te da una increíble variedad de estudio que simplemente me encanta. Además de ser una gran ayuda para estudiantes de diferentes grados, como la universidad, lo que más me gusta de esta app es que está para diferentes países.
Bárbara
Chile
Me encantó. La app es superior, buena para los estudiantes. No solo te da las respuestas, sino que también te las explica de una manera asombrosa, lo que hace que entiendas súper rápido. La recomiendo mucho si se te hace difícil comprender las materias que te dejan.
Jennifer
Perú
Muy buena aplicación, da información precisa de lo que se le pide. Es eficiente y, sobre todo, tiene varios intereses a escoger, como por ejemplo, temas sobre el ICFES, temas de bachillerato, entre otros. Excelente app.
Lady
Colombia
¡La app es buenísima! Sólo tengo que introducir el tema en la barra de búsqueda y recibo la respuesta muy rápido. No tengo que ver 10 vídeos de YouTube para entender algo, así que me ahorro tiempo. ¡Muy recomendable!
Sara
usuaria de Android
En el instituto era muy malo en matemáticas, pero gracias a la app, ahora saco mejores notas. Os agradezco mucho que hayáis creado la aplicación.
Roberto
usuario de Android
Me costaba demasiado estudiar porque no entiendo cuando me pongo a estudiar, y en los exámenes me iba mal, hasta que me empezaron a aparecer anuncios y la descargué sin tenerle fe. Gracias a esta aplicación, algo que no entendía hace meses y semanas lo entendí. En esta aplicación mis notas mejoraron, y ya no me tengo que preocupar por estudiar.
Antonella
Argentina
¡Excelente! Amé la app. Me parece súper eficiente. Aparte de que enseña mucho, te ayuda en tus problemas personales y te hace resúmenes. Amo. Amé un montón la app. Sirve para cualquier año, desde sexto hasta quinto año. Aparte, hay resúmenes de otras personas. ¡Nonono, loquísimo! Te la recomiendo al 100%. Efectivamente, es un 10/10.
Usuario argentino
iOS.
Excelente experiencia. La aplicación es buenísima, la recomiendo mucho. Es mucho mejor que ChatGPT. Te manda la respuesta de tus búsquedas y, aparte, diapositivas para estudiar. Es magnífica.
Alo
México
¡ME ENCANTA! Todo es muy sencillo de utilizar y aprender. Mi IA es muy buena y los apuntes de los demás estudiantes son súper buenos; explica las cosas súper bien y detalladamente. La amo. Pruébenla.
Kitty
Colombia
La app es muy fácil de usar y está muy bien diseñada. Hasta ahora he encontrado todo lo que estaba buscando y he podido aprender mucho de las presentaciones. Definitivamente utilizaré la aplicación para un examen de clase. Y, por supuesto, también me sirve mucho de inspiración.
Pablo
usuario de iOS
Esta app es realmente genial. Hay tantos apuntes de clase y ayuda [...]. Tengo problemas con matemáticas, por ejemplo, y la aplicación tiene muchas opciones de ayuda. Gracias a Knowunity, he mejorado en mates. Se la recomiendo a todo el mundo.
Elena
usuaria de Android
Vaya, estoy realmente sorprendida. Acabo de probar la app porque la he visto anunciada muchas veces y me he quedado absolutamente alucinada. Esta app es LA AYUDA que quieres para el insti y, sobre todo, ofrece muchísimas cosas, como ejercicios y hojas informativas, que a mí personalmente me han sido MUY útiles.
Ana
usuaria de iOS
Una increíble aplicación, de verdad. Apareció en el momento en que necesitaba una app que me ayude a organizar mis estudios, al igual que para prepararme para los exámenes. Te da una increíble variedad de estudio que simplemente me encanta. Además de ser una gran ayuda para estudiantes de diferentes grados, como la universidad, lo que más me gusta de esta app es que está para diferentes países.
Bárbara
Chile
Me encantó. La app es superior, buena para los estudiantes. No solo te da las respuestas, sino que también te las explica de una manera asombrosa, lo que hace que entiendas súper rápido. La recomiendo mucho si se te hace difícil comprender las materias que te dejan.
Jennifer
Perú
Muy buena aplicación, da información precisa de lo que se le pide. Es eficiente y, sobre todo, tiene varios intereses a escoger, como por ejemplo, temas sobre el ICFES, temas de bachillerato, entre otros. Excelente app.
Lady
Colombia
¡La app es buenísima! Sólo tengo que introducir el tema en la barra de búsqueda y recibo la respuesta muy rápido. No tengo que ver 10 vídeos de YouTube para entender algo, así que me ahorro tiempo. ¡Muy recomendable!
Sara
usuaria de Android
En el instituto era muy malo en matemáticas, pero gracias a la app, ahora saco mejores notas. Os agradezco mucho que hayáis creado la aplicación.
Roberto
usuario de Android
Me costaba demasiado estudiar porque no entiendo cuando me pongo a estudiar, y en los exámenes me iba mal, hasta que me empezaron a aparecer anuncios y la descargué sin tenerle fe. Gracias a esta aplicación, algo que no entendía hace meses y semanas lo entendí. En esta aplicación mis notas mejoraron, y ya no me tengo que preocupar por estudiar.
Antonella
Argentina
¡Excelente! Amé la app. Me parece súper eficiente. Aparte de que enseña mucho, te ayuda en tus problemas personales y te hace resúmenes. Amo. Amé un montón la app. Sirve para cualquier año, desde sexto hasta quinto año. Aparte, hay resúmenes de otras personas. ¡Nonono, loquísimo! Te la recomiendo al 100%. Efectivamente, es un 10/10.
Usuario argentino
iOS.
Excelente experiencia. La aplicación es buenísima, la recomiendo mucho. Es mucho mejor que ChatGPT. Te manda la respuesta de tus búsquedas y, aparte, diapositivas para estudiar. Es magnífica.
Alo
México
¡ME ENCANTA! Todo es muy sencillo de utilizar y aprender. Mi IA es muy buena y los apuntes de los demás estudiantes son súper buenos; explica las cosas súper bien y detalladamente. La amo. Pruébenla.
Kitty
Colombia