La química orgánica es la rama que estudia los compuestos... Mostrar más
Inscríbete para ver los apuntes¡Es gratis!
Acceso a todos los documentos
Mejora tus notas
Únete a millones de estudiantes
Asignaturas
Triangle Congruence and Similarity Theorems
Triangle Properties and Classification
Linear Equations and Graphs
Geometric Angle Relationships
Trigonometric Functions and Identities
Equation Solving Techniques
Circle Geometry Fundamentals
Division Operations and Methods
Basic Differentiation Rules
Exponent and Logarithm Properties
Mostrar todos los temas
Human Organ Systems
Reproductive Cell Cycles
Biological Sciences Subdisciplines
Cellular Energy Metabolism
Autotrophic Energy Processes
Inheritance Patterns and Principles
Biomolecular Structure and Organization
Cell Cycle and Division Mechanics
Cellular Organization and Development
Biological Structural Organization
Mostrar todos los temas
Chemical Sciences and Applications
Atomic Structure and Composition
Molecular Electron Structure Representation
Atomic Electron Behavior
Matter Properties and Water
Mole Concept and Calculations
Gas Laws and Behavior
Periodic Table Organization
Chemical Thermodynamics Fundamentals
Chemical Bond Types and Properties
Mostrar todos los temas
European Renaissance and Enlightenment
European Cultural Movements 800-1920
American Revolution Era 1763-1797
American Civil War 1861-1865
Global Imperial Systems
Mongol and Chinese Dynasties
U.S. Presidents and World Leaders
Historical Sources and Documentation
World Wars Era and Impact
World Religious Systems
Mostrar todos los temas
Classic and Contemporary Novels
Literary Character Analysis
Rhetorical Theory and Practice
Classic Literary Narratives
Reading Analysis and Interpretation
Narrative Structure and Techniques
English Language Components
Influential English-Language Authors
Basic Sentence Structure
Narrative Voice and Perspective
Mostrar todos los temas
175
•
Actualizado Mar 26, 2026
•
Vicente Abarca
@vicenteabarca
La química orgánica es la rama que estudia los compuestos... Mostrar más





















Los hidrocarburos son compuestos formados exclusivamente por átomos de carbono e hidrógeno. Constituyen la estructura base de todos los compuestos orgánicos que estudiarás en química.
Para nombrarlos correctamente, seguimos las reglas de la IUPAC (Unión Internacional de Química Pura y Aplicada), que nos permite identificar claramente cualquier molécula orgánica con un nombre sistemático.
En esta unidad aprenderás a reconocer los diferentes tipos de hidrocarburos y a nombrarlos según su estructura, lo que te dará las herramientas fundamentales para entender moléculas más complejas.
💡 Dato clave: Dominar la nomenclatura de hidrocarburos es como aprender el alfabeto de la química orgánica. Una vez que lo manejes, podrás "leer" cualquier molécula orgánica.

Los hidrocarburos se clasifican principalmente en dos grandes grupos según su estructura:
Alifáticos: Tienen cadenas abiertas o cerradas (cíclicas) de carbono. Dentro de este grupo encontramos:
Aromáticos: Contienen uno o más anillos de benceno en su estructura, con un sistema de enlaces alternados que les confiere propiedades especiales.
Cada tipo tiene características físicas y químicas distintas. Por ejemplo, los alcanos son poco reactivos, mientras que los alquenos y alquinos tienen puntos de reacción específicos en sus enlaces múltiples.
💡 Recuerda: La presencia de enlaces múltiples (dobles o triples) hace que un hidrocarburo sea "insaturado", porque podría añadir más hidrógenos en esos puntos.

Los hidrocarburos se diferencian por el tipo de enlaces entre sus átomos de carbono:
Saturados (alcanos): Como el butano (C₄H₁₀), tienen solo enlaces simples entre carbonos. Son menos reactivos y forman moléculas estables. Su fórmula general es C₍ₙ₎H₍₂ₙ₊₂₎.
Insaturados: Contienen uno o más enlaces múltiples:
Esta saturación no solo afecta la química, sino también la geometría molecular. Los enlaces múltiples crean ángulos y formas distintas que determinan las propiedades de las sustancias.
💡 Aplicación práctica: El concepto de saturación también aparece en nuestra vida diaria. Las grasas saturadas (mantequilla) son sólidas a temperatura ambiente, mientras que las insaturadas (aceite de oliva) son líquidas debido a las "curvaturas" que producen los dobles enlaces en sus moléculas.

En los compuestos orgánicos, los átomos de carbono se clasifican según el número de otros carbonos a los que están unidos:
Carbono primario (1°): Está unido a solo un átomo de carbono. Generalmente se encuentran en los extremos de las cadenas.
Carbono secundario (2°): Está unido a dos átomos de carbono. Suelen formar parte del "cuerpo" de la cadena.
Carbono terciario (3°): Está unido a tres átomos de carbono. Frecuentemente son puntos de ramificación.
Carbono cuaternario (4°): Está unido a cuatro átomos de carbono. No tiene hidrógenos unidos directamente a él.
Identificar correctamente estos tipos de carbono es fundamental para entender la reactividad de diferentes partes de una molécula.
💡 Truco fácil: Para identificar el tipo de carbono, simplemente cuenta cuántos carbonos están directamente unidos a él (no cuentes hidrógenos ni otros elementos).

Podemos representar las moléculas orgánicas de diferentes formas, cada una con sus ventajas:
Estructura desarrollada: Muestra todos los átomos y enlaces. Por ejemplo, para el propano:
H H H
| | |
H-C-C-C-H
| | |
H H H
Estructura condensada: Simplifica la representación agrupando hidrógenos con sus carbonos. El mismo propano se escribe: CH₃CH₂CH₃
Estructura de esqueleto: Solo muestra la "columna vertebral" de carbonos, donde cada vértice o extremo representa un carbono con sus hidrógenos correspondientes.
Estas representaciones te permiten visualizar la misma molécula de formas distintas, enfatizando diferentes aspectos de su estructura.
💡 Consejo práctico: Aprende a convertir rápidamente entre estos tipos de representaciones. Los químicos cambian entre ellas según lo que necesiten destacar de una molécula.

Los alcanos son hidrocarburos saturados con enlaces simples C-C. Su fórmula general es:
Para nombrar un alcano correctamente, sigue estos pasos:
El nombre final combina: -[prefijo según n° de C]-ano
💡 Ejemplo práctico: En CH₃-CH(CH₃)-CH₂-CH₃, la cadena principal tiene 4 carbonos (butano) y hay un grupo metilo en el carbono 2, por lo que se llama 2-metilbutano.

Los prefijos indican el número de carbonos en la cadena principal:
| N° de C | Prefijo | N° de C | Prefijo |
|---|---|---|---|
| 1 | met | 7 | hept |
| 2 | et | 8 | oct |
| 3 | prop | 9 | non |
| 4 | but | 10 | dec |
| 5 | pent | 11 | undec |
| 6 | hex | 12 | dodec |
Los radicales o ramificaciones más comunes son:
Estos grupos se nombran como sustituyentes cuando no forman parte de la cadena principal.
💡 Recordatorio importante: Cuando hay ramificaciones iguales, usa los prefijos di-, tri-, tetra-, etc., para indicar su cantidad. Por ejemplo: 2,2,4-trimetilpentano tiene tres grupos metilo.

Veamos algunos ejemplos para poner en práctica la nomenclatura:
Ejemplo 1: CH₃-CH₂-CH(CH₃)-CH(CH₃)-CH₂-CH₂-CH₃
Ejemplo 2: Un compuesto con una cadena principal de 5 carbonos y grupos metilo en las posiciones 2 y 4
Cuando practiques, asegúrate de:
💡 Estrategia de estudio: Practica dibujando estructuras a partir de nombres y viceversa. Este ejercicio de "ida y vuelta" te ayudará a dominar la nomenclatura más rápido.

Los hidrocarburos insaturados contienen enlaces múltiples entre carbonos:
Alquenos: Contienen al menos un enlace doble . Se nombran con el sufijo -eno. La hibridación del carbono es sp².
Alquinos: Contienen al menos un enlace triple (C≡C). Se nombran con el sufijo -ino. La hibridación del carbono es sp.
Para nombrarlos correctamente:
Si hay ramificaciones, se siguen las mismas reglas que con los alcanos.
💡 Dato importante: La posición del enlace múltiple tiene prioridad sobre las ramificaciones al momento de numerar la cadena. Siempre busca que el número que indica la posición del doble o triple enlace sea el más bajo posible.

La nomenclatura de hidrocarburos te permite:
Los hidrocarburos son la base de muchos productos cotidianos:
Dominar este tema te permitirá entender mejor no solo la química orgánica avanzada, sino también muchos procesos industriales y biológicos fundamentales.
💡 Reflexión final: Cuando veas un producto derivado del petróleo (plásticos, combustibles, medicamentos), recuerda que estás viendo aplicaciones prácticas de los hidrocarburos que has aprendido a nombrar.










Nuestro compañero de IA está específicamente adaptado a las necesidades de los estudiantes. Basándonos en los millones de contenidos que tenemos en la plataforma, podemos dar a los estudiantes respuestas realmente significativas y relevantes. Pero no se trata solo de respuestas, el compañero también guía a los estudiantes a través de sus retos de aprendizaje diarios, con planes de aprendizaje personalizados, cuestionarios o contenidos en el chat y una personalización del 100% basada en las habilidades y el desarrollo de los estudiantes.
Puedes descargar la app en Google Play Store y Apple App Store.
¡Sí lo es! Tienes acceso totalmente gratuito a todo el contenido de la app, puedes chatear con otros alumnos y recibir ayuda inmeditamente. Puedes ganar dinero utilizando la aplicación, que te permitirá acceder a determinadas funciones.
App Store
Google Play
La app es muy fácil de usar y está muy bien diseñada. Hasta ahora he encontrado todo lo que estaba buscando y he podido aprender mucho de las presentaciones. Definitivamente utilizaré la aplicación para un examen de clase. Y, por supuesto, también me sirve mucho de inspiración.
Pablo
usuario de iOS
Esta app es realmente genial. Hay tantos apuntes de clase y ayuda [...]. Tengo problemas con matemáticas, por ejemplo, y la aplicación tiene muchas opciones de ayuda. Gracias a Knowunity, he mejorado en mates. Se la recomiendo a todo el mundo.
Elena
usuaria de Android
Vaya, estoy realmente sorprendida. Acabo de probar la app porque la he visto anunciada muchas veces y me he quedado absolutamente alucinada. Esta app es LA AYUDA que quieres para el insti y, sobre todo, ofrece muchísimas cosas, como ejercicios y hojas informativas, que a mí personalmente me han sido MUY útiles.
Ana
usuaria de iOS
Una increíble aplicación, de verdad. Apareció en el momento en que necesitaba una app que me ayude a organizar mis estudios, al igual que para prepararme para los exámenes. Te da una increíble variedad de estudio que simplemente me encanta. Además de ser una gran ayuda para estudiantes de diferentes grados, como la universidad, lo que más me gusta de esta app es que está para diferentes países.
Bárbara
Chile
Me encantó. La app es superior, buena para los estudiantes. No solo te da las respuestas, sino que también te las explica de una manera asombrosa, lo que hace que entiendas súper rápido. La recomiendo mucho si se te hace difícil comprender las materias que te dejan.
Jennifer
Perú
Muy buena aplicación, da información precisa de lo que se le pide. Es eficiente y, sobre todo, tiene varios intereses a escoger, como por ejemplo, temas sobre el ICFES, temas de bachillerato, entre otros. Excelente app.
Lady
Colombia
¡La app es buenísima! Sólo tengo que introducir el tema en la barra de búsqueda y recibo la respuesta muy rápido. No tengo que ver 10 vídeos de YouTube para entender algo, así que me ahorro tiempo. ¡Muy recomendable!
Sara
usuaria de Android
En el instituto era muy malo en matemáticas, pero gracias a la app, ahora saco mejores notas. Os agradezco mucho que hayáis creado la aplicación.
Roberto
usuario de Android
Me costaba demasiado estudiar porque no entiendo cuando me pongo a estudiar, y en los exámenes me iba mal, hasta que me empezaron a aparecer anuncios y la descargué sin tenerle fe. Gracias a esta aplicación, algo que no entendía hace meses y semanas lo entendí. En esta aplicación mis notas mejoraron, y ya no me tengo que preocupar por estudiar.
Antonella
Argentina
¡Excelente! Amé la app. Me parece súper eficiente. Aparte de que enseña mucho, te ayuda en tus problemas personales y te hace resúmenes. Amo. Amé un montón la app. Sirve para cualquier año, desde sexto hasta quinto año. Aparte, hay resúmenes de otras personas. ¡Nonono, loquísimo! Te la recomiendo al 100%. Efectivamente, es un 10/10.
Usuario argentino
iOS.
Excelente experiencia. La aplicación es buenísima, la recomiendo mucho. Es mucho mejor que ChatGPT. Te manda la respuesta de tus búsquedas y, aparte, diapositivas para estudiar. Es magnífica.
Alo
México
¡ME ENCANTA! Todo es muy sencillo de utilizar y aprender. Mi IA es muy buena y los apuntes de los demás estudiantes son súper buenos; explica las cosas súper bien y detalladamente. La amo. Pruébenla.
Kitty
Colombia
La app es muy fácil de usar y está muy bien diseñada. Hasta ahora he encontrado todo lo que estaba buscando y he podido aprender mucho de las presentaciones. Definitivamente utilizaré la aplicación para un examen de clase. Y, por supuesto, también me sirve mucho de inspiración.
Pablo
usuario de iOS
Esta app es realmente genial. Hay tantos apuntes de clase y ayuda [...]. Tengo problemas con matemáticas, por ejemplo, y la aplicación tiene muchas opciones de ayuda. Gracias a Knowunity, he mejorado en mates. Se la recomiendo a todo el mundo.
Elena
usuaria de Android
Vaya, estoy realmente sorprendida. Acabo de probar la app porque la he visto anunciada muchas veces y me he quedado absolutamente alucinada. Esta app es LA AYUDA que quieres para el insti y, sobre todo, ofrece muchísimas cosas, como ejercicios y hojas informativas, que a mí personalmente me han sido MUY útiles.
Ana
usuaria de iOS
Una increíble aplicación, de verdad. Apareció en el momento en que necesitaba una app que me ayude a organizar mis estudios, al igual que para prepararme para los exámenes. Te da una increíble variedad de estudio que simplemente me encanta. Además de ser una gran ayuda para estudiantes de diferentes grados, como la universidad, lo que más me gusta de esta app es que está para diferentes países.
Bárbara
Chile
Me encantó. La app es superior, buena para los estudiantes. No solo te da las respuestas, sino que también te las explica de una manera asombrosa, lo que hace que entiendas súper rápido. La recomiendo mucho si se te hace difícil comprender las materias que te dejan.
Jennifer
Perú
Muy buena aplicación, da información precisa de lo que se le pide. Es eficiente y, sobre todo, tiene varios intereses a escoger, como por ejemplo, temas sobre el ICFES, temas de bachillerato, entre otros. Excelente app.
Lady
Colombia
¡La app es buenísima! Sólo tengo que introducir el tema en la barra de búsqueda y recibo la respuesta muy rápido. No tengo que ver 10 vídeos de YouTube para entender algo, así que me ahorro tiempo. ¡Muy recomendable!
Sara
usuaria de Android
En el instituto era muy malo en matemáticas, pero gracias a la app, ahora saco mejores notas. Os agradezco mucho que hayáis creado la aplicación.
Roberto
usuario de Android
Me costaba demasiado estudiar porque no entiendo cuando me pongo a estudiar, y en los exámenes me iba mal, hasta que me empezaron a aparecer anuncios y la descargué sin tenerle fe. Gracias a esta aplicación, algo que no entendía hace meses y semanas lo entendí. En esta aplicación mis notas mejoraron, y ya no me tengo que preocupar por estudiar.
Antonella
Argentina
¡Excelente! Amé la app. Me parece súper eficiente. Aparte de que enseña mucho, te ayuda en tus problemas personales y te hace resúmenes. Amo. Amé un montón la app. Sirve para cualquier año, desde sexto hasta quinto año. Aparte, hay resúmenes de otras personas. ¡Nonono, loquísimo! Te la recomiendo al 100%. Efectivamente, es un 10/10.
Usuario argentino
iOS.
Excelente experiencia. La aplicación es buenísima, la recomiendo mucho. Es mucho mejor que ChatGPT. Te manda la respuesta de tus búsquedas y, aparte, diapositivas para estudiar. Es magnífica.
Alo
México
¡ME ENCANTA! Todo es muy sencillo de utilizar y aprender. Mi IA es muy buena y los apuntes de los demás estudiantes son súper buenos; explica las cosas súper bien y detalladamente. La amo. Pruébenla.
Kitty
Colombia
Vicente Abarca
@vicenteabarca
La química orgánica es la rama que estudia los compuestos del carbono, siendo los hidrocarburos su forma más simple. Estos compuestos, formados solo por carbono e hidrógeno, son la base para entender estructuras moleculares más complejas y siguen reglas específicas... Mostrar más

Acceso a todos los documentos
Mejora tus notas
Únete a millones de estudiantes
Los hidrocarburos son compuestos formados exclusivamente por átomos de carbono e hidrógeno. Constituyen la estructura base de todos los compuestos orgánicos que estudiarás en química.
Para nombrarlos correctamente, seguimos las reglas de la IUPAC (Unión Internacional de Química Pura y Aplicada), que nos permite identificar claramente cualquier molécula orgánica con un nombre sistemático.
En esta unidad aprenderás a reconocer los diferentes tipos de hidrocarburos y a nombrarlos según su estructura, lo que te dará las herramientas fundamentales para entender moléculas más complejas.
💡 Dato clave: Dominar la nomenclatura de hidrocarburos es como aprender el alfabeto de la química orgánica. Una vez que lo manejes, podrás "leer" cualquier molécula orgánica.

Acceso a todos los documentos
Mejora tus notas
Únete a millones de estudiantes
Los hidrocarburos se clasifican principalmente en dos grandes grupos según su estructura:
Alifáticos: Tienen cadenas abiertas o cerradas (cíclicas) de carbono. Dentro de este grupo encontramos:
Aromáticos: Contienen uno o más anillos de benceno en su estructura, con un sistema de enlaces alternados que les confiere propiedades especiales.
Cada tipo tiene características físicas y químicas distintas. Por ejemplo, los alcanos son poco reactivos, mientras que los alquenos y alquinos tienen puntos de reacción específicos en sus enlaces múltiples.
💡 Recuerda: La presencia de enlaces múltiples (dobles o triples) hace que un hidrocarburo sea "insaturado", porque podría añadir más hidrógenos en esos puntos.

Acceso a todos los documentos
Mejora tus notas
Únete a millones de estudiantes
Los hidrocarburos se diferencian por el tipo de enlaces entre sus átomos de carbono:
Saturados (alcanos): Como el butano (C₄H₁₀), tienen solo enlaces simples entre carbonos. Son menos reactivos y forman moléculas estables. Su fórmula general es C₍ₙ₎H₍₂ₙ₊₂₎.
Insaturados: Contienen uno o más enlaces múltiples:
Esta saturación no solo afecta la química, sino también la geometría molecular. Los enlaces múltiples crean ángulos y formas distintas que determinan las propiedades de las sustancias.
💡 Aplicación práctica: El concepto de saturación también aparece en nuestra vida diaria. Las grasas saturadas (mantequilla) son sólidas a temperatura ambiente, mientras que las insaturadas (aceite de oliva) son líquidas debido a las "curvaturas" que producen los dobles enlaces en sus moléculas.

Acceso a todos los documentos
Mejora tus notas
Únete a millones de estudiantes
En los compuestos orgánicos, los átomos de carbono se clasifican según el número de otros carbonos a los que están unidos:
Carbono primario (1°): Está unido a solo un átomo de carbono. Generalmente se encuentran en los extremos de las cadenas.
Carbono secundario (2°): Está unido a dos átomos de carbono. Suelen formar parte del "cuerpo" de la cadena.
Carbono terciario (3°): Está unido a tres átomos de carbono. Frecuentemente son puntos de ramificación.
Carbono cuaternario (4°): Está unido a cuatro átomos de carbono. No tiene hidrógenos unidos directamente a él.
Identificar correctamente estos tipos de carbono es fundamental para entender la reactividad de diferentes partes de una molécula.
💡 Truco fácil: Para identificar el tipo de carbono, simplemente cuenta cuántos carbonos están directamente unidos a él (no cuentes hidrógenos ni otros elementos).

Acceso a todos los documentos
Mejora tus notas
Únete a millones de estudiantes
Podemos representar las moléculas orgánicas de diferentes formas, cada una con sus ventajas:
Estructura desarrollada: Muestra todos los átomos y enlaces. Por ejemplo, para el propano:
H H H
| | |
H-C-C-C-H
| | |
H H H
Estructura condensada: Simplifica la representación agrupando hidrógenos con sus carbonos. El mismo propano se escribe: CH₃CH₂CH₃
Estructura de esqueleto: Solo muestra la "columna vertebral" de carbonos, donde cada vértice o extremo representa un carbono con sus hidrógenos correspondientes.
Estas representaciones te permiten visualizar la misma molécula de formas distintas, enfatizando diferentes aspectos de su estructura.
💡 Consejo práctico: Aprende a convertir rápidamente entre estos tipos de representaciones. Los químicos cambian entre ellas según lo que necesiten destacar de una molécula.

Acceso a todos los documentos
Mejora tus notas
Únete a millones de estudiantes
Los alcanos son hidrocarburos saturados con enlaces simples C-C. Su fórmula general es:
Para nombrar un alcano correctamente, sigue estos pasos:
El nombre final combina: -[prefijo según n° de C]-ano
💡 Ejemplo práctico: En CH₃-CH(CH₃)-CH₂-CH₃, la cadena principal tiene 4 carbonos (butano) y hay un grupo metilo en el carbono 2, por lo que se llama 2-metilbutano.

Acceso a todos los documentos
Mejora tus notas
Únete a millones de estudiantes
Los prefijos indican el número de carbonos en la cadena principal:
| N° de C | Prefijo | N° de C | Prefijo |
|---|---|---|---|
| 1 | met | 7 | hept |
| 2 | et | 8 | oct |
| 3 | prop | 9 | non |
| 4 | but | 10 | dec |
| 5 | pent | 11 | undec |
| 6 | hex | 12 | dodec |
Los radicales o ramificaciones más comunes son:
Estos grupos se nombran como sustituyentes cuando no forman parte de la cadena principal.
💡 Recordatorio importante: Cuando hay ramificaciones iguales, usa los prefijos di-, tri-, tetra-, etc., para indicar su cantidad. Por ejemplo: 2,2,4-trimetilpentano tiene tres grupos metilo.

Acceso a todos los documentos
Mejora tus notas
Únete a millones de estudiantes
Veamos algunos ejemplos para poner en práctica la nomenclatura:
Ejemplo 1: CH₃-CH₂-CH(CH₃)-CH(CH₃)-CH₂-CH₂-CH₃
Ejemplo 2: Un compuesto con una cadena principal de 5 carbonos y grupos metilo en las posiciones 2 y 4
Cuando practiques, asegúrate de:
💡 Estrategia de estudio: Practica dibujando estructuras a partir de nombres y viceversa. Este ejercicio de "ida y vuelta" te ayudará a dominar la nomenclatura más rápido.

Acceso a todos los documentos
Mejora tus notas
Únete a millones de estudiantes
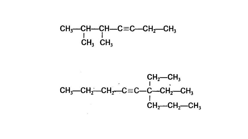
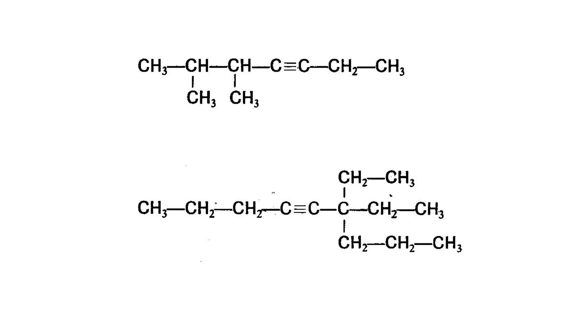
Los hidrocarburos insaturados contienen enlaces múltiples entre carbonos:
Alquenos: Contienen al menos un enlace doble . Se nombran con el sufijo -eno. La hibridación del carbono es sp².
Alquinos: Contienen al menos un enlace triple (C≡C). Se nombran con el sufijo -ino. La hibridación del carbono es sp.
Para nombrarlos correctamente:
Si hay ramificaciones, se siguen las mismas reglas que con los alcanos.
💡 Dato importante: La posición del enlace múltiple tiene prioridad sobre las ramificaciones al momento de numerar la cadena. Siempre busca que el número que indica la posición del doble o triple enlace sea el más bajo posible.

Acceso a todos los documentos
Mejora tus notas
Únete a millones de estudiantes
La nomenclatura de hidrocarburos te permite:
Los hidrocarburos son la base de muchos productos cotidianos:
Dominar este tema te permitirá entender mejor no solo la química orgánica avanzada, sino también muchos procesos industriales y biológicos fundamentales.
💡 Reflexión final: Cuando veas un producto derivado del petróleo (plásticos, combustibles, medicamentos), recuerda que estás viendo aplicaciones prácticas de los hidrocarburos que has aprendido a nombrar.

Acceso a todos los documentos
Mejora tus notas
Únete a millones de estudiantes

Acceso a todos los documentos
Mejora tus notas
Únete a millones de estudiantes

Acceso a todos los documentos
Mejora tus notas
Únete a millones de estudiantes

Acceso a todos los documentos
Mejora tus notas
Únete a millones de estudiantes

Acceso a todos los documentos
Mejora tus notas
Únete a millones de estudiantes

Acceso a todos los documentos
Mejora tus notas
Únete a millones de estudiantes

Acceso a todos los documentos
Mejora tus notas
Únete a millones de estudiantes

Acceso a todos los documentos
Mejora tus notas
Únete a millones de estudiantes

Acceso a todos los documentos
Mejora tus notas
Únete a millones de estudiantes

Acceso a todos los documentos
Mejora tus notas
Únete a millones de estudiantes
Nuestro compañero de IA está específicamente adaptado a las necesidades de los estudiantes. Basándonos en los millones de contenidos que tenemos en la plataforma, podemos dar a los estudiantes respuestas realmente significativas y relevantes. Pero no se trata solo de respuestas, el compañero también guía a los estudiantes a través de sus retos de aprendizaje diarios, con planes de aprendizaje personalizados, cuestionarios o contenidos en el chat y una personalización del 100% basada en las habilidades y el desarrollo de los estudiantes.
Puedes descargar la app en Google Play Store y Apple App Store.
¡Sí lo es! Tienes acceso totalmente gratuito a todo el contenido de la app, puedes chatear con otros alumnos y recibir ayuda inmeditamente. Puedes ganar dinero utilizando la aplicación, que te permitirá acceder a determinadas funciones.
3
Herramientas Inteligentes NUEVO
Transforma estos apuntes en: ✓ 50+ Preguntas de Práctica ✓ Fichas de Estudio Interactivas ✓ Prueba Completa de Práctica ✓ Esquemas de Ensayo
App Store
Google Play
La app es muy fácil de usar y está muy bien diseñada. Hasta ahora he encontrado todo lo que estaba buscando y he podido aprender mucho de las presentaciones. Definitivamente utilizaré la aplicación para un examen de clase. Y, por supuesto, también me sirve mucho de inspiración.
Pablo
usuario de iOS
Esta app es realmente genial. Hay tantos apuntes de clase y ayuda [...]. Tengo problemas con matemáticas, por ejemplo, y la aplicación tiene muchas opciones de ayuda. Gracias a Knowunity, he mejorado en mates. Se la recomiendo a todo el mundo.
Elena
usuaria de Android
Vaya, estoy realmente sorprendida. Acabo de probar la app porque la he visto anunciada muchas veces y me he quedado absolutamente alucinada. Esta app es LA AYUDA que quieres para el insti y, sobre todo, ofrece muchísimas cosas, como ejercicios y hojas informativas, que a mí personalmente me han sido MUY útiles.
Ana
usuaria de iOS
Una increíble aplicación, de verdad. Apareció en el momento en que necesitaba una app que me ayude a organizar mis estudios, al igual que para prepararme para los exámenes. Te da una increíble variedad de estudio que simplemente me encanta. Además de ser una gran ayuda para estudiantes de diferentes grados, como la universidad, lo que más me gusta de esta app es que está para diferentes países.
Bárbara
Chile
Me encantó. La app es superior, buena para los estudiantes. No solo te da las respuestas, sino que también te las explica de una manera asombrosa, lo que hace que entiendas súper rápido. La recomiendo mucho si se te hace difícil comprender las materias que te dejan.
Jennifer
Perú
Muy buena aplicación, da información precisa de lo que se le pide. Es eficiente y, sobre todo, tiene varios intereses a escoger, como por ejemplo, temas sobre el ICFES, temas de bachillerato, entre otros. Excelente app.
Lady
Colombia
¡La app es buenísima! Sólo tengo que introducir el tema en la barra de búsqueda y recibo la respuesta muy rápido. No tengo que ver 10 vídeos de YouTube para entender algo, así que me ahorro tiempo. ¡Muy recomendable!
Sara
usuaria de Android
En el instituto era muy malo en matemáticas, pero gracias a la app, ahora saco mejores notas. Os agradezco mucho que hayáis creado la aplicación.
Roberto
usuario de Android
Me costaba demasiado estudiar porque no entiendo cuando me pongo a estudiar, y en los exámenes me iba mal, hasta que me empezaron a aparecer anuncios y la descargué sin tenerle fe. Gracias a esta aplicación, algo que no entendía hace meses y semanas lo entendí. En esta aplicación mis notas mejoraron, y ya no me tengo que preocupar por estudiar.
Antonella
Argentina
¡Excelente! Amé la app. Me parece súper eficiente. Aparte de que enseña mucho, te ayuda en tus problemas personales y te hace resúmenes. Amo. Amé un montón la app. Sirve para cualquier año, desde sexto hasta quinto año. Aparte, hay resúmenes de otras personas. ¡Nonono, loquísimo! Te la recomiendo al 100%. Efectivamente, es un 10/10.
Usuario argentino
iOS.
Excelente experiencia. La aplicación es buenísima, la recomiendo mucho. Es mucho mejor que ChatGPT. Te manda la respuesta de tus búsquedas y, aparte, diapositivas para estudiar. Es magnífica.
Alo
México
¡ME ENCANTA! Todo es muy sencillo de utilizar y aprender. Mi IA es muy buena y los apuntes de los demás estudiantes son súper buenos; explica las cosas súper bien y detalladamente. La amo. Pruébenla.
Kitty
Colombia
La app es muy fácil de usar y está muy bien diseñada. Hasta ahora he encontrado todo lo que estaba buscando y he podido aprender mucho de las presentaciones. Definitivamente utilizaré la aplicación para un examen de clase. Y, por supuesto, también me sirve mucho de inspiración.
Pablo
usuario de iOS
Esta app es realmente genial. Hay tantos apuntes de clase y ayuda [...]. Tengo problemas con matemáticas, por ejemplo, y la aplicación tiene muchas opciones de ayuda. Gracias a Knowunity, he mejorado en mates. Se la recomiendo a todo el mundo.
Elena
usuaria de Android
Vaya, estoy realmente sorprendida. Acabo de probar la app porque la he visto anunciada muchas veces y me he quedado absolutamente alucinada. Esta app es LA AYUDA que quieres para el insti y, sobre todo, ofrece muchísimas cosas, como ejercicios y hojas informativas, que a mí personalmente me han sido MUY útiles.
Ana
usuaria de iOS
Una increíble aplicación, de verdad. Apareció en el momento en que necesitaba una app que me ayude a organizar mis estudios, al igual que para prepararme para los exámenes. Te da una increíble variedad de estudio que simplemente me encanta. Además de ser una gran ayuda para estudiantes de diferentes grados, como la universidad, lo que más me gusta de esta app es que está para diferentes países.
Bárbara
Chile
Me encantó. La app es superior, buena para los estudiantes. No solo te da las respuestas, sino que también te las explica de una manera asombrosa, lo que hace que entiendas súper rápido. La recomiendo mucho si se te hace difícil comprender las materias que te dejan.
Jennifer
Perú
Muy buena aplicación, da información precisa de lo que se le pide. Es eficiente y, sobre todo, tiene varios intereses a escoger, como por ejemplo, temas sobre el ICFES, temas de bachillerato, entre otros. Excelente app.
Lady
Colombia
¡La app es buenísima! Sólo tengo que introducir el tema en la barra de búsqueda y recibo la respuesta muy rápido. No tengo que ver 10 vídeos de YouTube para entender algo, así que me ahorro tiempo. ¡Muy recomendable!
Sara
usuaria de Android
En el instituto era muy malo en matemáticas, pero gracias a la app, ahora saco mejores notas. Os agradezco mucho que hayáis creado la aplicación.
Roberto
usuario de Android
Me costaba demasiado estudiar porque no entiendo cuando me pongo a estudiar, y en los exámenes me iba mal, hasta que me empezaron a aparecer anuncios y la descargué sin tenerle fe. Gracias a esta aplicación, algo que no entendía hace meses y semanas lo entendí. En esta aplicación mis notas mejoraron, y ya no me tengo que preocupar por estudiar.
Antonella
Argentina
¡Excelente! Amé la app. Me parece súper eficiente. Aparte de que enseña mucho, te ayuda en tus problemas personales y te hace resúmenes. Amo. Amé un montón la app. Sirve para cualquier año, desde sexto hasta quinto año. Aparte, hay resúmenes de otras personas. ¡Nonono, loquísimo! Te la recomiendo al 100%. Efectivamente, es un 10/10.
Usuario argentino
iOS.
Excelente experiencia. La aplicación es buenísima, la recomiendo mucho. Es mucho mejor que ChatGPT. Te manda la respuesta de tus búsquedas y, aparte, diapositivas para estudiar. Es magnífica.
Alo
México
¡ME ENCANTA! Todo es muy sencillo de utilizar y aprender. Mi IA es muy buena y los apuntes de los demás estudiantes son súper buenos; explica las cosas súper bien y detalladamente. La amo. Pruébenla.
Kitty
Colombia